原创 张轩铭 上海市法学会 东方法学

中国的生成式人工智能软服务的法治理具有正当性,其治理框架可借助演化博弈理论与成本效益分析相结合进行仿真分析。该框架用于分析三个不同实体之间的行为趋势:政府机构、第三方独立机构和在软法治理框架下的人工智能公司。研究结果表明:第一,成本效益对这些实体的行为有显著影响;第二,在政府有效治理的前提条件下,第三方独立机构和人工智能公司的行为选择表现出周期性波动。一方面,生成式人工智能软法治理框架需要根据人工智能带来的具体风险以及不同司法管辖区执法的相对成本和收益进行调整;另一方面,从成本效益的角度来看,政府对人工智能治理的干预应该受到限制,政府应探索建立多方主体参与的生成式人工智能软法治理体系。

一、问题的提出
随着Chat-GPT、Midjourney以及Sora等生成式人工智能技术在文本、图像、视频等领域的广泛应用,以及人类与生成式人工智能应用交互的频率和深度的加强,迫切需要对潜在的生成式人工智能治理理论及其方案进行仔细评估。科技正在比艺术更快地发展,人们甚至难以表达新技术的未知危险对他们带来的不安,引发了包括史蒂夫·沃兹尼亚克、埃隆·马斯克等在内的三万多人的担忧,他们呼吁所有人工智能实验室立即暂停至少六个月。正如萨姆·奥特曼指出的:“一个逐步的过渡使得公众和政策制定者有时间来了解正在发生的事情,亲自体验这些系统的好处和缺点,调整我们的经济并实施监管”。然而,在激烈的国际竞争时代,并非所有的国家都主张通过积极的硬法监管来阻碍新兴技术的创新。至少在短期内,还需要更多的东西来填补人工智能治理方面的空白,这将属于“软法”的范畴。与硬法规范相比,软法更侧重于为公共主体的行为选择提供导向,多存在于政法惯例、公共政策、自律规范以及合作规范等载体形态之中,在公域之治中从来都是不可或缺的。因此,除了欧盟“命令-控制”风格的硬法监管规范,人工智能时代同样需要认真对待软法。有鉴于此,如何构建生成式人工智能服务的软法治理框架,需要从法律层面积极回应,这是推进国家治理体系和治理能力现代化语境下值得探讨的重要话题。
二、生成式人工智能服务何来呼唤软法之治?
法律制度要达到维护社会秩序的目的,必须通过承认某些利益、规定各种界限、确定利益的评价原则的方式实现。在涉及具体的科技创新法律关系中,为了应对新兴科技发展对原有利益分配格局带来的调整,目前存在软法和硬法两种立法技术。所谓硬法,是指那些需要依赖国家强制力保障实施的法律规范,然而传统的硬法监管方式不能很好地适应人工智能时代,人工智能的发展速度远远超过了任何传统监管系统的能力,这一挑战被称为法律与技术发展的“步伐问题”;所谓软法规范,指的是那些不依靠国家强制力保证实施的法规范,它们由部分国家法规范与全部社会法规范共同构成。软法支持者认为人工智能技术风险的复杂性尚未受到充分的论证,如果匆忙制定监管法律可能阻碍有益的人工智能技术的进一步发展和部署,而开放式和灵活的指导方针和标准更适应社会一体化进程。
(一)
生成式人工智能服务硬法之治存在不足
欧洲议会和理事会就欧盟《人工智能法案》(以下简称“法案”)已经达成协议,似乎预示着全球首个人工智能监管法案即将迎来曙光。然而,法案也可能成为一个伪装的竞争政策工具:巨大的合规成本、缺乏安全港规则和法律不确定性,将导致已经集中的市场日益被互联网寡头垄断,并可能危及欧洲的技术独立,最终让消费者付出沉重代价。出于这种担忧,东南亚国家通过了一份名为《人工智能伦理与治理指南》的软法治理方案,鼓励企业考虑文化差异,试图创造“商业友好型”的人工智能发展环境。出现如此截然不同的治理方案,背后的原因是值得探讨的。
第一,在理论方面,政府动用公共资源对生成式人工智能技术其市场运用进行硬法治理的正当性仍然存有争议。一种理论认为进行行政干预的理由源于据称市场无法处理特定的结构性问题,最常见的理由包括市场反垄断监管、技术风险控制、公平竞争保障等。由于各种社会经济挑战的存在,包括关税政策、失业、价格控制和公共财政,各级政府对相关行业的治理都需要进行严格的监管,以确保社会福利。在知识产权、数据安全、人机互动以及隐私保护等方面,技术的内生风险决定了生成式人工智能服务行业接受硬法治理的必要性。另一种理论认为人工智能引入的技术复杂性没有受到充分的审查,这表明建立一个针对人工智能的全面监管体系可能为时过早,考虑不周的硬法治理可能会阻碍有益的人工智能(AI)技术的进展和部署。一些自由意志主义学者还强调了由司法机构裁决的规则执行与监管机构之间的显著分歧。一方面,许多政府对产业的硬法监管容易倾向于保护现有企业的地位;另一方面,监管机构由于信息不对称,往往缺乏知识来正确理解技术变革对社会关系的影响。因此,生成式的硬法治理仍然面临理论上的争议,仓促的硬法治理既可能提高公共福利,也可能助长滥用公共权力甚至阻碍技术创新。
第二,在法的实施层面,生成式人工智能硬法治理难以提升治理实效。一方面,欧盟人工智能法案中的“风险”仍然是一个抽象的概念。虽然法案在第二章和第三章分别基于风险分级的方法列举了被禁止的人工智能清单以及对自然人的健康、安全或基本权利造成高风险的人工智能系统的具体规则,包括所有那些被认为是不可接受的违反欧盟价值观的人工智能系统。例如,法案第6条列举了被视为高风险技术的条件:“人工智能系统旨在用作产品的安全组成部分,或本身是一种产品,包括附录二中的欧盟立法列表所覆盖”和“产品的安全组件是人工智能系统,或人工智能系统本身作为一个产品”。此外,修正版法案还补充了对环境有害的人工智能技术也应该被认为是高风险。然而,仅仅按照法案及其附录提供的表格对复杂的人工智能技术进行是否高风险的判定是不够的,何种人工智能技术属于“环境有害”以及“安全组件”仍需要进一步解释,相关条款的实施仍然需要进一步方法、模型和繁杂的处理过程,这相当于人为创造巨大的复杂性,这种复杂性对通用技术提出了挑战。欧盟立法者似乎认识到了法案在实践中可能面临极大的不确定性,于是将法案第7条进一步修改,赋予欧洲委员会的修改权力,即“有权力通过、授权修改法案,通过增加或修改高风险人工智能系统的区域或用例来修改附件三条款没有注意到风险交叉的情况以及技术使用者的因素”。
另一方面,除了风险交叉,将来立法者还需要考虑技术使用者和使用场景因素。同一种技术由不同主体使用产生的风险显然是不同的。以人脸识别的生物人工智能技术为例,这项技术在突发传染病防控、打击犯罪以及公共管理等领域有着广泛的应用,产生了显著的公共利益。而欧盟人工智能法案以技术作为划分风险等级的依据,却忽略了技术的使用场景和使用领域。虽然法案考虑到了人工智能技术为了公共利益可以有条件地使用,但是根据法案第五条的规定,在公共场合使用实施人工智能技术驱动的远程生物识别系统需要符合以下条件:技术的使用目的仅限于定位犯罪分子(特殊情况下包括失踪儿童)或者为了“防止自然人的生命或人身安全因恐怖袭击造成具体的、实质性的和迫在眉睫的威胁”或者“这些刑事罪行在有关会员国可被判处监禁或被判处至少三年的拘留令”。可见,法案对于人工智能技术用于打击犯罪是有门槛的,需要证明“罪行严重到足以可能证明使用‘实时’远程生物识别系统是合理的”。这一条款面临的争议如此之大,以至于修正版本的法案完全删除了远程生物识别系统的限制。可见,至少在现阶段,用一部统一的硬法治理框架实现人工智能技术的全面监管不现实也不够灵活。任何有关技术的立法必须足够灵活,否则难以提升治理实效,毕竟法律无法预测技术的发展及其风险。
生成式人工智能技术迭代周期越来越短,欧盟人工智能法案本身都指出了“风险”的不确定性,因此基于风险分级的事前治理难以精准预测风险,基于法律规范的硬性治理难以提升治理实效。
(二)
生成式人工智能服务软法之治已取得实施成效
生成式人工智能依赖于其强大的基础模型,实现了与使用者进行深度交流的突破,在文本生成、图形绘画以及代码修改等任务中表现卓越,正在被应用于电子商务、交通运输以及法律服务等各种领域。然而生成式人工智能除了带来丰富的发展机遇,也产生了各种风险,集中体现在训练阶段中的数据安全风险和输出阶段的虚假信息或内容侵权风险。从全球范围的人工智能治理来看,各国正不约而同地选择制定规范性人工智能宣言、建议和命令等软法文件,特别是在人工智能伦理治理领域,因软法具有灵活高效、适用成本低以及方便区分治理等优势,呈现出国际硬法缺位,软法发达的现状。
一方面,全球人工智能治理的框架已初步成形。2023年11月1日,中国、德国、美国等国家签署通过了《布莱奇利宣言》,旨在建立一个具有国际包容性的人工智能安全治理框架,推动双边或多边合作,发展“前沿人工智能技术、建立适当的人工智能评估指标、研发人工智能安全测试工具以及开展基于人工智能的科学研究”。然而,《布莱奇利宣言》并非全球最早治理人工智能软法的方案。2016年,电气和电子工程师学会(IEEE)发布《全球自主和智能系统伦理倡议》,“确保每一个利益相关者参与设计及开发的自主和智能系统,接受过教育,训练和伦理检测,使得这些技术服务于全人类的利益”。IEEE已正式批准制定以下标准,现设立了标准制定委员会来制定每个标准。


表1 IEEE人工智能治理标准
这些人工智能的技术标准为技术伦理、真假信息识别、未成年保护、隐私防护、算法公平等提供了指导,将来还会随着人工智能技术的发展而及时调整。比如,根据《生成式人工智能服务管理暂行办法》第4条第1款的规定,提供和使用生成式人工智能服务不得生成危害国家安全、破坏社会稳定及虚假有害信息等法律、行政法规禁止的内容。随着生成式人工智能技术及其应用的发展,生成式人工智能服务的提供者有义务使用包括技术手段在内的各种方法预防和解决各种虚假有害信息传播的隐患,《确定和评价新闻来源可信度过程的标准》提供了一个易于理解的开放评级系统,解决假新闻的不断传播的负面影响。
另一方面,少数国家已积极开展生成式人工智能软法治理的实践。鉴于欧洲《人工智能法案》可能阻碍人工智能技术的发展,各国正在探索从软法治理的角度针对人工智能的“现实危险”出台方案。美国通过组建“人工智能伙伴关系”巩固其人工智能领域的竞争力。人工智能伙伴关系是美国人工智能软法治理的重要参与主体,包括微软、OpenAI、亚马逊以及Meta等七家人工智能行业巨头齐聚白宫签订了“自愿承诺书”,该承诺书主张发展安全、可靠和值得信赖的人工智能技术,并且与政府共享有关人工智能治理方面的信息,包括信任和安全风险、危险或紧急能力并试图规避风险的安全措施。2023年10月23日,美国总统拜登发布了名为《关于安全、可靠和值得信赖地发展和使用人工智能》的行政命令,推出联邦政府与多方组织协调治理人工智能的方法,使得人工智能技术为所有人提供正义、安全与机会。类似的,英国政府对于生成式人工智能技术倾向于“自我监管”模式,旨在培育一个既灵活又有前瞻性的治理生态系统,提出了成为“人工智能超级大国”的雄心,利用人工智能技术的发展和扩散,造福英国的社会和经济。针对最新的生成式人工智能技术,英国政府关注到生成式人工智能模型开发中的知识产权风险,并打算在一个或多个现有政府部门试点“监管沙盒”。与欧盟《人工智能法案》不同,英国无意建立一个新的监管机构,也没有打算出台新的人工智能法案,而是出台《人工智能监管政策文件》,支持现有的监管部门利用其现有的权力进行“部门式”监管。中国的生成式人工智能软法治理也取得了进展,坚持智能向善的原则,鼓励相关行业加强行业自律,建立行业标准、行业准则和行业自律管理制度,同时为生成式人工智能服务提供者和使用设定了义务。从以上三国的治理实践来看,“硬法”并不是生成式人工智能治理的唯一途径,“软法”治理亦有着实践意义。
(三)
生成式人工智能服务软法之治的比较优势
如果翻开国际法的文献,可以经常看到诸如“非正式协议”“非条约义务”以及“不精确表述”等表述,这些表述随着公域之治的转型被凝练成“软法”概念。虽然软法因其模糊的法律边界、缺乏约束力以及妨碍硬法的实施等属性而备受批评。然而,当治理快速发展的新兴技术时,软法仍然具有比较优势。一方面,软法之治具有组织灵活性。“软法”治理能够改变自上而下的“命令-控制”式监管模式,通过纳入行业协会、标准制定机构、第三方平台、社团组织等多方主体,组成生成式人工智能服务治理联合体,由此呈现了分布式治理的横向维度。例如,在互联网信息服务领域,生成式人工智能服务的风险预警义务由服务提供方承担。根据《互联网信息服务深度合成管理规定》第10条和第13条的规定,生成式人工智能服务提供者发现违法和不良信息的,应当依法采取处置措施,保存相关记录,及时向网信部门和有关主管部门报告。该条款赋予了服务提供者的处置权力和报告义务,相当于承担了原本由政府部门的监管义务。与此同时,为了加大对生成式人工智能服务提供者的督促,第13条还规定了第三方应用商店等应用程序分发平台的处置权,对于具有安全隐患或者未履行备案义务的生成式人工智能服务提供者,第三方平台有权采取不予上架、警示、暂停服务或者下架等处置措施。从技术溯源的角度看,最了解生成式人工智能技术风险的不是政府部门或者监管机构,而是掌握核心技术的企业、高校、智库或者其他非政府组织。在人工智能时代,处于技术前沿的大公司,具备庞大的用户基础、能持续收集不断增长的原始数据以及储备大量的算力基础设施,逐渐承担了“隐形政府”的角色。因此,软法之治通过这种非常灵活的安排,能充分发挥分布式治理网络中各主体的专业特长,从而提升治理的效率。另一方面,软法之治具有较低的制度成本。在公共治理领域,“成本-效益”分析的概念引出了多方面解释,这种分析框架需要考虑某一法律法规的制定或实施的“项目”是否能在较长的周期内产生积极的净收益,符合帕累托效益的标准,最终为社会大众带来利益,这是治理生成式人工智能服务不得不考虑的因素。法律法规的制定和执行代表了政府的实质性财政承诺,比如当涉及制定和执行与生成式人工智能服务有关的治理法律法规时,需要大量的财政支出以保证立法的科学性,这种科学的机制不可避免地增加了使用“硬法”治理新兴技术的成本。“硬法”的实施还依赖各级政府的执法,而依赖单一的政府部门的“监管式”执法同样产生高昂的执法成本。“社会自治程度越高,软法则愈盛”,与硬法相比,软法因其逻辑结构往往不够完整不能运用国家强制力保证实施,未被列入立法法的调整范围,从而能够在较短时间内以较低的制定和实施成本对新兴的技术治理作出回应,继而实现国家管理与社会治理的良性互动,并对社会自然人、法人和其他组织的权益产生影响。
三、生成式人工智能服务软法之治的制度理性
如前所述,软法,作为一种规范社会行为和关系的一种方式,具有治理比较优势。然而,软法也存在一定的局限性,其中最为突出的是“非约束力”问题。这种非约束力导致软法在实际应用中存在一定的不确定性,这对社会秩序的稳定和法治建设带来了一定的挑战。因此,我们需要对软法进行深入研究软法之治背后的制度理性,探索如何克服其非约束力导致的不确定性。
(一)
生成式人工智能服务软法之治的运行机制
生成式人工智能服务软法之治的主体包括政府、企业、社会组织和个人等多方利益相关者。这些主体在软法之治中扮演着不同的角色,共同构建了一个多元化的治理网络。政府负责制定相关政策和标准,企业负责技术的研发和应用,社会组织负责监督和评估,个人则负责参与和反馈。
1.基于公司影响力区别实施差异化的软法之治
人工智能时代,大公司由于其庞大的用户基础、大量的用户行为数据、大量的计算基础设施的储备而承担了“隐形政府”的角色。这些实体具有独立或通过子公司开发人工智能技术的能力,从而在社会内发挥重大影响和动员能力。中国的人工智能公司按其社会动员能力或公众舆论属性进行分类,接受不同的监管监督。根据《互联网信息服务算法推荐和管理法规》第24条的规定,具有公众舆论或社会动员能力属性的算法推荐服务提供商有义务在通过互联网信息服务算法开始提供服务后的10个工作日内完成记录系统文件。文档需要提供诸如服务提供商的名称、服务格式、应用程序领域、算法类型和算法本身等细节,以及从评估报告中获得的相关信息,包括公共内容。政府部门有权评估和规范档案算法。他们还可以组织执法工作,对企业进行监督和检查。在发现问题的情况下,他们可以提供纠正建议,并要求公司在规定的时间框架内进行纠正。对于没有社会动员能力或公众舆论属性的公司,他们不需要完成上述记录系统文件。根据《关于加快人工智能现场创新,促进高质量经济发展的指导意见》第8条的规定,人工智能初创企业应积极参与创新,参与城市和工业建设,通过创新实现业务拓展。总的来说,中国的人工智能监管框架区分了企业规模。该法律为那些缺乏社会影响力的中小企业提供了相当大的支持,以鼓励它们积极参与人工智能技术的开发和创新。
2.建立一个有多个主体参与的软法之治
涉及政府、公司和社会的协作治理构成了提高治理系统的效力和能力的关键途径。虽然政府在人工智能领域扮演着主要角色,但当代人工智能企业所拥有的技术优势,对政府机构的监管能力构成了巨大的挑战。因此,在我国的立法框架中,法律法规的具体规定了企业和公众在参与监管过程中的作用和责任。特别是,对于利用人工智能技术进行数据处理或从事与数据交易相关的中介服务的实体,法律授权规定了公司或中介机构有义务积极从事遵守数据完整性和安全标准的工作。此外,非政府实体还被赋予了参与对虚假信息的管理的权利和责任,从而有助于开展旨在遏制人工智能领域内的非法活动的努力。这种多方协同的软法之治反映了一种共同的努力,以解决政府、公司和公众之间在人工智能监管中错综复杂的动态。例如,根据数据安全法第29条的规定,从事数据处理的人工智能公司应加强风险监测,并在识别危害,包括数据安全缺陷和漏洞时及时采取纠正措施。如发生数据安全漏洞,应立即采取措施解决,及时通知受影响的用户,并向负责数据安全的相关政府部门报告。在数据交易领域,部分监管权力属于独立的第三方机构,由中介实体对从事数据交易的两个实体的身份和法律地位进行初步审查。同时,根据第33条的规定,任何提供数据交易中介服务的实体都将被迫要求数据提供者披露数据的来源,并验证参与交易的所有各方的身份。此外,该实体有义务仔细记录和维护包括所有审计和交易细节的全面文件。类似地,《互联网信息服务深度合成管理规定》第13条规定,要求人工智能服务机构从事语音合成、面部识别、文本合成、视频剪辑或类似服务等活动的规定,加强对合成内容的监管。这就需要使用技术方法和人工智能机制来管理用户输入数据和所生成的合成内容。人工智能实体进一步有义务建立一个强大的系统来识别非法和有害的信息。任何此类确定的内容都应按照现有的法律规定迅速处理,并精心保存相关记录。必须及时发出通知,需要及时向网络空间部门和相关监管机构提交报告。该法律框架还根据法定规定,对利用深度综合服务的有关用户实施制裁。这种制裁可能包括警告、功能限制、暂停服务或关闭用户账户。此外,该立法强调了赋予第三方应用程序商店对深度综合服务提供商的管理权力。互联网应用商店和类似平台承担安全管理责任,包括日常运营监管和应急响应措施。此外,还禁止这些实体确保进行安全评估和核实涉及深度综合的申请文件。违反国家有关规定的,规定了扣缴、发布警告、停业、退市等措施。
在民用无人机领域也可以看到类似的治理机制。中国民用航空总局开发了无人机系统交通管理信息服务系统(UT-MISS),以规范民用无人机的飞行活动。它提供民用无人机飞行、空域和安全评估、规划以及与相关监管机构的协调监督等服务。为了实现对轻型和小型民用无人机飞行动态的实时监测,这类无人机的空域、飞行轨迹和飞行活动的管理逐渐简化。与此同时,还实施了针对民用无人机的空中交通管理系统,为了补充,民航局颁布了管理轻型民用无人机实时飞行数据管理的治理框架(以下简称“MDCUAV”)。第3.4.2条,满足指定的技术和安全标准的第三方平台被允许与无人交通管理和信息共享系统(UTMISS)接口。这些经授权的第三方平台负责接收无人机系统提交的飞行动态数据。这一规定考虑到可能整合许多第三方平台,作为由大量无人机传输的飞行数据的接收者和监管机构。同时,根据MDCUAV第5.6条的规定,民航局保留了管理这些第三方平台的权力。民航局有责任对这些第三方平台进行定期和系统的监管。那些被发现不符合有关数据存储和安全的规定要求的平台可能会面临停止对UTMISS系统的访问。可见,中国倾向于打造政府整合实体、企业实体和公众的协作治理的软法之治框架。这种合作的软法治理框架不仅为人工智能公司提供了最大限度地发挥其技术能力的机会,而且还强调了政府监管在向那些需要援助的人提供支持方面的关键作用。
3.根据不同行业应用场景的分散治理
目前,中国的人工智能技术及其在产品上的应用主要集中在互联网业、制造业、交通运输业、金融业和医疗保健业等领域。考虑到这些不同领域的不同应用场景,与人工智能技术和产品相关的风险表现出相当大的可变性。采用一套统一的标准来规范人工智能,有可能导致特定行业的过度监管或放松管制。因此,中国没有建立一个包含人工智能统一法律的全面监管框架。相反,监管监督是分散的,政府部门负责在各自的领域内制定和管理与人工智能相关的具体法律和政策。根据《生成人工智能服务管理暂行办法》第16条的规定,互联网和信息、发展和改革、教育、科技、工业和信息技术、公安、安全、广播和电视以及新闻出版,被授权根据各自的影响范围加强生成式人工智能服务的管理责任。例如,在我国医学人工智能领域内,严格实施了医疗人工智能技术的全面生命周期监督框架。这导致逐步建立了一个管理框架,由国务院承担领导职责,同时各部委在各自的专业领域内合作作出贡献。我国医疗人工智能的应用领域包括公共卫生智能服务、医疗器械行业、临床辅助诊疗、智能医院管理以及医疗行业的广泛发展。根据《医疗器械条例》第57条,人工智能医疗器械产品的上市前注册检查和上市后评估均由合格的医疗器械检验机构进行。医疗器械检查专门委托给国务院认证认可监督管理部门和国务院药品监督管理部门认可的机构进行。在自动驾驶领域,中国已授权各省制定管理无人驾驶汽车的法规,使其能够根据所在区域汽车行业发展的细微差别,自行制定地方性法规。根据《深圳经济特区智能网联汽车管理条例》规定,在该管辖范围内的智能连接车辆的道路测试、通行、登记和运营管理应遵守当地规定的立法。该条例第8条规定了不同政府部门的义务,包括交通运输部门、市场监督部门、公安机关交通管理部门和网络信息管理部门。第14条建立了道路测试和示范应用的声明和管理体系。寻求在深圳进行道路测试或示范申请的实体,必须按照规定,向相关市政主管部门提出申请。随后,以市主管部门确认开始道路试或示范申请,并以市公安机关交通管理部门取得自动驾驶车辆临时驾驶车牌为准。
对中国医疗人工智能以及自动驾驶领域的软法治理实践的比较分析表明,中国正在建立人工智能领域的软法之治框架。在自动驾驶领域,中国采取了宽容的立场,为个别地区提供了制定有利于智能汽车发展的监管政策的自由,前提是这些地区智能汽车行业的具体发展轨迹。相反,在人工智能驱动的医疗保健领域,中国采取了谨慎的方式,国务院承担了规范医疗人工智能应用的指导作用。
(二)
生成式人工智能服务软法之治的成本收益分析
前述分析了中国生成式人工智能服务软法之治的运行机制,但问题有待讨论:这种软法之治机制真的理性吗?中国软法之治的成本和效益是什么?在公共政策和监管评估领域,成本效益分析的概念引出了多方面的解释。当政府承担制定监管制定的任务时,必须对相关成本和效益进行综合评估。此外,这样的分析需要考虑定性和定量的预期治理后果。首要目标是确保法规产生一种积极性质的净效益,符合帕累托效率的标准。明智地执行多项政策和法规,在长期内共同产生积极的净效应,可以产生实质性的社会优势,最终为整个民众带来利益,同时避免对任何个人造成伤害。
1.软法治理的成本
在软法治理的背景下,“成本”一词可以恰当地定义为所有支出的总和,以及由治理或非治理政策措施导致的总体福祉的减少。为了提高精度和概念的清晰度,更适合使用通用术语“影响”,将成本分类为不利影响,将收益分类为有利影响。法律法规的制定和执行代表了政府的实质性财政承诺,特别是当涉及执行与人工智能有关的监管政策时,需要大量的财政支出。实现从这些努力中获得的法律利益需要进行大量投资;然而,财政资源和人员的持续限制往往妨碍执法的效力。忽视充分考虑与生成式人工智能治理相关的费用,包括运营预算分配,可能会严重阻碍实施后预期的治理影响的实现。面对过多的治理成本或执行挑战,软法治理的实施很有可能被推迟或有选择地实施。在遵守监管法规的成本变得过度负担的情况下,创新的生成式人工智能公司可能会寻求规避监管的途径,或将其初创企业迁至其他司法管辖区,从而削弱竞争力并施加社会福利成本。如果对监管法规提出法律挑战,人工智能监管的可持续性可能会受到质疑,特别是当诉讼成本超过应计收益,或被扣押或执行的资产证明不足以支付所产生的法律费用。
首先,对于政府而言,其成本在于推行软法治理体系和治理能力现代化过程中产生的制度成本。中国政府已经全面实施了行政执法制度、执法记录制度、重大行政决定法制审核三项行政执法制度。行政执法透明制度的基本概念是依法及时向社会披露有关行政执法信息,保证行政执法的透明性,促进社会监督。行政执法整个过程的录音系统是指使用书面、电子、音频和录像技术对行政执法行为进行记录和存档的做法。这确保了对整个过程的可追溯性和具有追溯性的管理系统,从而使行政执法标准化。
其次,对于参与生成式人工智能治理的第三方机构(以下简称“TPI”)而言,其成本包括运营成本和责任成本。第三方独立机构可以采取公司实体、人工智能行业协会或协作监管平台的形式。由政府建立一个公正的监管机构,可以作为一种机制来解决人工智能监管领域内公共监管的不足。TPI的成本包括运营成本和责任成本。一方面,第三方独立机构能够全面获取精确的第一手数据、先进的算法和强大的基础设施,能够快速识别和验证与使用人工智能技术有关的任何非法做法,这些基础设施和软实力使其有充足的专业能力参与生成式人工智能的软法治理。这些机构在有关人员任命人员、组织等级制度的配置和利用其财产的问题上保持类似于私营公司的自主权。在监管任务中,TPI必须招募具有必要熟练程度的专家,并确保必要的监管技术,以确保监管过程和最终结果的公正性。另一方面,作为对人工智能系统治理的最终责任兜底机构,政府被赋予了监督这些独立监管机构活动的能力。通过独立的第三方机构建立信用评级机制,再加上社会监督的结合,使公民有权对第三方独立机构的结论进行质疑和审查。在第三方独立机构实施放松管制的情况下,政府可以制定惩罚性措施。这也证明了第三方独立机构不遵守规定相关的责任成本。
最后,生成式人工智能公司的成本包括合规成本与违规成本。跨国人工智能企业承担的合规支出并不统一,而是在不同区域之间波动。欧盟的人工智能法案作为一个范例,赋予国家监管当局征用任何相关信息的能力,包括源代码、软件和数据集。负责人工智能模型的实体必须确保在整个模型的生命周期中达到性能、可预测性、可解释性、可纠正性和安全性的适当标准。当企业的人工智能系统被归类为高风险时,其在欧洲管辖范围内的合规活动需要成立一个专门遵守人工智能法案的部门,负责设计一个跨越人工智能技术整个生命周期的全面风险管理策略,从开发到部署。在开发阶段,建立数据和知识的合规机制是至关重要的,因此需要组织人力资源来监督数据集的所有培训、验证和测试,以及对其真实性和合法性的验证。如果文本、视频或音频内容可能侵犯了他人的知识产权,法律部门就有责任对涉及知识产权侵权的问题作出判断。它还必须评估这些权利的稳健性和有效性,以及任何侵权行为的影响。在无法访问公共知识或替代数据集的情况下,企业可能被迫承担与获得必要权限相关的成本。为了遵守不同国家和地区的人工智能治理要求,许多公司发现自己有义务在内部系统的重新调整、流程的改进和数据遵从性的管理方面进行大量投资。例如,多国实体可能需要修改其数据处理方法和算法设计,以符合其业务所在的多个司法管辖区内的不同的隐私和数据保护法规。
在人工智能发展的背景下,用于人工智能培训的数据和知识来源必须被合法获取,而不应侵犯知识产权、商业秘密,也不得参与任何形式的不公平竞争。目前,人工智能公司在各自的垂直领域越来越专业化,需要获取大量的专业数据。如果人工智能公司需要真实和专门的数据,他们将通过独特、合法和权宜的方法来获取这些数据。根据个人信息保护法第55条的规定,人工智能公司被授权在自动决策和数据培训和处理领域内评估其使用个人信息的影响,确保彻底考虑数据特征、质量和敏感性。数据必须精确分类,通过适当的安全措施加以保护,并以最大限度地利用其价值,同时保护数据的安全和隐私。此外,人工智能生成的内容必须符合法律标准。此类内容不得违反法律禁止的规定,或包含基于国籍、信仰、地区、性别、年龄、职业或健康状况的歧视性材料。遇到非法内容的服务提供者必须立即采取行动,停止其生成和传播,消除它,进行模型优化和培训,以解决该问题,并向有关当局报告该事件。这一过程要求人类进行监督,以排除可能危及个人安全或身心健康的情况。
不遵守管理协议或无视国家和区域监管政策,可能会为人工智能企业提供合规支出的短期节省。然而,他们也可能需要支付违规费用,因为它们可能面临行政制裁、负面信用记录的累积、贸易限制或市场影响力减弱的风险。因此,这些潜在的影响应被纳入遵守法律法规的成本效益分析中。
2.软法治理的收益
对于政府或第三方机构来说,软法治理的好处在于通过实施法律和法规来优化配置资源和控制资源开发,以最大限度地提高生产力和整体社会福利。治理生成式人工智能的目的并不是为了阻碍其发展,而是为了使其嵌入人类生产关系,以提高生产率,同时协调与其他人工智能技术相关的风险。首先,在人工智能时代,人们显然是在追求社会尊严、安全、秩序、自由、正义和公共福利。通过在社会治理各领域发展和实施可控的人工智能技术,可以显著提高社会保障水平,同时减少犯罪的发生。人工智能还可以用于帮助人们更好地应对紧急情况,如自然灾害和公共卫生事件,并提高应急响应能力。有监管的人工智能发展可以减少对人类尊严、安全和社会秩序的挑战,同时最大限度地创造额外的财富,促进自由和正义。其次,公众应遵守与人工智能相关的法律法规,利用人工智能技术来提高个人的价值。公民在使用人工智能技术来保护数据、保护隐私和确保道德行为时,必须遵循相应的指导方针和标准。人工智能技术应根据法律规定进行学习和创造。在获取知识的传统方法中,人们必须阅读书籍、文章和报告来收集相关的信息。这个过程既费时又低效。然而,借助人工智能技术,我们可以通过搜索引擎、推荐系统、自然语言处理和其他基于人工智能的工具方便地提取知识和信息。这种先进的技术简化了信息处理和分析的过程。在传统的信息处理方法中,必须对大量的数据和信息进行手工过滤、分类和分析。这种方法不仅容易出错,而且效率非常低。借助人工智能技术,我们可以利用机器学习、深度学习等相关技术,有效地自动化大量数据和信息的处理和分析。机器学习算法能够自动分类、识别和分析大量的图像、音频、视频和其他非结构化数据。借助深度学习技术,它还可以自动分析、理解和创建大量的文本数据。此外,人工智能技术可以拓宽人类的灵感和提高工作效率。创造性的工作者和科学家都可以使用人工智能来帮助获得早期的研究灵感。最后,随着人工智能技术的发展,整体社会生产力有望得到提高。通用的人工智能机器人将越来越多地承担更大比例的工作、重组就业和完善工作要求。虽然一些重复的和危险的工作可能会变得自动化,但另一些需要高技能专业人员的工作将变得更加重要。最终,这一转变将支持经济和社会发展,并积极改变就业市场格局。创新人才通过加强就业结构,创新人才可以创造新的科技进步,促进传统产业的现代化和蜕变,促进新兴产业的发展和扩张。这反过来将给社会带来机遇和挑战,同时促进经济的可持续发展和繁荣。
人工智能公司的企业收益包括直接利益和间接利益。直接的利益可能反映在提供服务的过程中获得用户上。如果一家人工智能公司要合规运营,它将承担确保数据、算法和服务的安全和控制的费用。这将吸引大量的用户,并通过提供量身定制的体验、优化决策支持、提高生产效率、创新产品和服务,以及完善客户服务来产生价值。这些方法可以帮助企业提高市场份额和利润率,从而提高企业的竞争力和可持续发展能力。间接利益来自一个监管错误,它降低了与人工智能相关的风险,并增强了社会信任。在人工智能决策过程中,如果公众理解控制人工智能决策的算法机制,他们可能会更信任人工智能系统。
(三)
生成式人工智能服务软法治理中的演化博弈理论
前述分析了生成式人工智能软法之治中的运行机制和成本收益,那么成本收益对于运行机制具有什么影响呢?演化博弈论探讨个体之间的战略互动如何通过类似生物进化的过程随时间演变。它为分析参与重复博弈的种群动态提供了一个框架,在这种博弈中,策略的成功与否取决于策略的相对频率以及策略之间的相互影响。
四、生成式人工智能服务软法治理的仿真分析
前文分析了生成式人工智能软法之治中政府、第三方机构和人工智能公司三方主体的运行机制及其成本收益,接下来我们运用演化博弈论进行仿真并论证成本和收益对每个主体行为的影响。
假设1:本文假设游戏中的主要玩家是政府、第三方机构和生成式人工智能公司(AI Company)。然而,这些实体都没有一个完全了解调节人工智能的复杂性或更广泛的社会经济格局。此外,他们缺乏制定最有效的监督或商业策略的能力,使其理性受到限制。
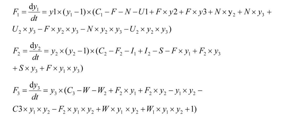
假设2:在软法之治框架中,政府、TPI和AI公司都有两种不同的策略。政府选择“治理”的概率表示为y1,而选择“不治理”的概率表示为(1-y1)。同样,TPI选择“合规”的概率为y2,选择“不合规”的概率为(1-y2)。同样,人工智能公司选择“合规操作”的可能性为y3,而选择“违规”的可能性为(1-y3)。常数y1、y2和y3都取区间[0,1]中的值。我们将积极策略定义为涉及治理或合规的策略,而消极策略的特征是不治理或不遵守规定。
假设3:在选择政府监管的情况下,必须分配资源来加强技术,从而导致C1的成本。当政府实施监管策略时,只要TPI或AI公司选择一种积极主动的方式,它就可以获得U1的好处。如果政府实施监管,和TPI和AI公司采用消极的策略,政府将获得一个额外的好处表示为f如果政府不监管,TPI或AI公司均采用一个积极的策略时,全社会的部分收益是U2。在没有政府监管的情况下,TPI和AI公司可能会选择一个消极的策略,这可能会导致公众对政府的负面看法,由此产生的负面社会影响记为N。
假设4:为了追求规模经济和确保可持续的软法之治,TPI必须同时选择对TPI本身和AI公司的合规。为了实现这一目标,TPI将投资于大数据、区块链和云计算技术,并聘请专业人员来实施监管战略。因人员、技术和基础设施投资而产生的合规成本用C2表示,由此产生的经营效益用I1表示。或者,TPI也可以选择一种不合规策略,它不会产生合规成本,此时产生的运营效益为I2。然而,这可能会导致TPI的社会声誉下降和可能的惩罚为F。无论政府治理,如果TPI未能合规,它可能招致额外的综合损失为S。
假设5:人工智能公司面临两种选择:合规运营和违规运营。人工智能公司利用其专业知识为社会提供人工智能技术,获得W的基本收入,同时产生C3的运营成本(C3不是无限的,其价值小于W)。如果人工智能公司选择合规运营服务,它将凭借其专业和合规服务而获得市场声誉,从而产生以W1表示的额外经济利益。相反地,如果人工智能公司采取了非法的商业策略,它就会通过非处方交易或非法收费来产生W2的运营效益。如果TPI检测到人工智能公司违规运营的行为,后者将受到来自TPI的被称为F2的惩罚。


表2 主要参数及其含义
如前所述,每个玩家都有两个战略选择,从而导致八种可能的混合法律行为。为了简化我们的分析,我们将在不同的情形下检查这三种类型的参与者。正如表2所示,借助期望矩阵的概念,可以列出不同参与主体的期望收益矩阵。

表3 收益矩阵
从收益矩阵中可以明显看出,政府、TPI和AI公司所表现出的随机行为存在相应的收益。在他们的互动过程中,这三方的行为可能会随着时间的推移而发生变化,导致与他们的行为相关的奖励的进化。借助Malthusian方程可以得到下面的复制动态方程:

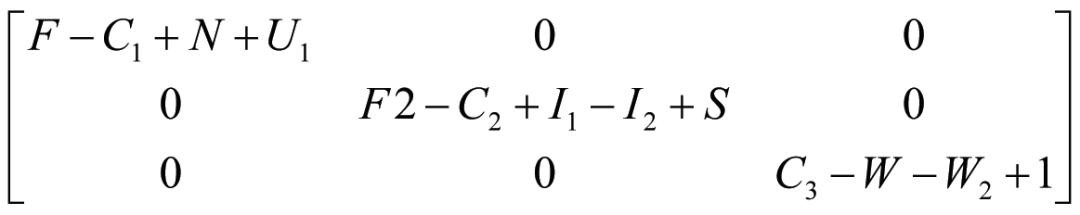
接下来可以借助Matlab R2014软件进行计算和仿真。基于Friedman方法,该系统的雅可比矩阵可用于讨论平衡点的局部稳定性。于是可以得到如下的雅可比矩阵:

接下来,根据“Taylor&Jonker理论”可知,混合平衡点具有一对实部为负的特征值,表明它是系统的稳定平衡点。系统的演化轨迹形成了一个稳定的螺旋环,其中混合平衡点作为稳定的中心点。然后我们可以用“Lyapounov”法证明上述雅可比矩阵有10个均衡点,这些点是渐进稳定的点。将这10个平衡点替换为雅可比矩阵,得到10个特征值。下面,我们将分析该系统在不断变化的初始条件下的演化趋势。然后将这10个平衡点替换为雅可比矩阵,得到10个特征值。下面,我们将分析该系统在不断变化的初始条件下的演化趋势:例如:第一个均衡点是[0,0,0],其中政府、TPI和AI公司都采取了负面策略。将第一均衡点替换为雅可比矩阵后的矩阵可以得到:

因此,我们可以得到以下三个特征值,如(F-C1+N+U1)、(F2-C2+I1-I2+S)和(C3-W-W2+1)。此外,我们还可以模拟政府、TPI和AI公司的互动行为演化过程。我们假设政府、TPI和AI公司的每个主题的概率都是相同的。初始时间为0,演化结束时间为2,初始概率状态为(0.5、0.5、0.5)。参数值为U1=1;U2=5;C1=10;I1=2;C2=12;I2=6;F=4;S=2;W1=7;C3=2;W2=5;N=1;F2=3;W=4。同理,可以分别依据均衡点[0,1,0]和[1,1,1]采取相同的方法得到仿真结果,其结果如图1、2和3所示:

图1[0,0,0]仿真结果

图2[0,1,0]仿真结果

图3[1,1,1]仿真结果
其他情况的模拟可以用上述方法进行测试,这里不再进一步讨论。目前关于软法治理人工智能的法律框架的审议仍在进行中,特别是在没有具体的立法措施来处理实际案例数据的成本效益分析的情况下。本节提供了一种新的方法,利用演化博弈论来模拟不同主体的法律行为来调节人工智能的法律关系。这种方法可以详细检查人工智能领域内与不同行为主体相关的不同成本和收益趋势。这样的分析可能会为人工智能监管的全面法律框架的发展提供实质性的理论支持。
鉴于以上的结果,我们为政府、TPI和AI公司行为的影响因素进行分析。图1说明,当政府软法治理的成本高到超过可能的积极社会效益、负面社会影响和相应罚款的总和时,治理生成式人工智能的可能性随着时间的推移急剧下降,最终趋于零。TPI合规运营的趋势的概率遵循类似的模式,如果合规的成本与违规经营的短期利益太高,TPI将缺乏合规的动力。此外,如果违法的好处对人工智能公司来说足够高,它们合规的可能性也会随着时间的推移而降低。图2提供了对我们的假设的进一步验证。当政府软法治理的成本总和得到有效控制,合规的收益超过违规经营的短期收益时,TPI合规经营的可能性逐渐增加,并最终收敛到100%。政府和人工智能公司采取主动措施的概率趋势遵循类似于图2中所示的模式,为了简洁起见,这里不再重复分析。在图3中,政府治理的概率曲线在达到峰值后呈现稳定的趋势,而TPI和AI公司监管的概率分布呈周期性波动。在初始阶段,政府和TPI的监管都迅速上升并达到稳定状态,这表明它们的政策可以保持一定程度的一致性,从而形成协同治理模式。尽管如此,选择按照合规方式运营的人工智能公司的比例在初始阶段略有下降,随后跌至最低谷,在此阶段,只有极小一部分人工智能公司选择合规。
但是当政府的宏观软法治理政策方向指引下,TPI能够通过投资于合规经营,来严格管理任何违规行为。这种来自政府和TPI的协同治理,使人工智能公司能够将其业务实践与相关法律和政策相结合,从而逐步促进人工智能行业的正常化。因此,越来越多的人工智能公司选择以合规的方式运营,提高其业务服务能力,扩大其收入,并有效地管理其成本。随着合规结构的不断增强,AI公司通常会遵守服务法律,并通过合规实践获得实质性的利益。这反过来又吸引了更大比例的AI公司积极接受合规行为,从而导致了这一趋势的迅速增长和行业规模的进一步扩大。然而,曲线背后的趋势也揭示了不同实体之间的其他差异。相比之下,TPI选择合规的概率在达到拐点后迅速下降。随着TPI选择积极参与软法治理政策的可能性下降,很明显,人工智能公司合规的可能性也在下降,最终双方都跌至最低点。通过整个数字,很明显,一旦政府的监管政策稳定,TPI和AI公司选择合规经营的可能性将呈现周期性波动。
通过以上分析,我们可以清楚地观察到,政府、TPI以及AI公司不同行为趋势的选择与他们的成本和收益密切相关。这一发现也表明,仅靠软法治理法律法规的颁布和实施并不能保证预期的治理效果。
五、完善生成式人工智能软法治理的政策建议
以上研究结果证实了在人工智能治理的法律关系中,成本和收益对生成式人工智能软法治理运行机制的影响。许多研究指出,法律框架对于规范人工智能是必要的,但大多数研究只关注宏观层面的法律框架的讨论。以往的研究从法律、管理或计算机科学等单一学科的角度分析了监管人工智能的政策,其主题主要关注伦理、价值判断和监管过程。研究结果表明,治理人工智能的必要性源于与此类技术应用相关的安全漏洞和知识产权侵犯相关的固有风险。如果没有有效治理,这些风险对人类福利和创新活动的扩大构成了可怕的威胁。在法律制定领域,阐明了从成本到收益的比例对于影响政府、第三方机构(TPI)和人工智能企业对合规或违规运营的行为倾向至关重要。以上研究揭示了一种特殊的动态,即TPI和人工智能公司之间的行为选择具有相互作用且表现出周期性波动。这一现象与亚当·斯密的“看不见的手”的隐喻产生了共鸣,暗示政府机构不需要不断升级他们对人工智能的监管投资,而是在尊重市场周期性规律的基础上,坚持软法治理的模式。这种治理支出的放大无助于改变生成式人工智能环境中其他市场成分反复无常的行为模式,这与边际效用递减的概念相一致。这种周期性波动的现象,以及相关的政府治理回报的下降,凸显了治理生成式人工智能等新兴技术所固有的多方面挑战。市场动态、创新动力以及行业利益相关者的多变行为会共同促使有关的市场主体逃避全面硬法治理。这一见解表明,有效的治理可能需要辅助方法,包括行业自我监管、采用道德框架,或创建基于市场的激励措施等软法治理途径,以充分参与弥漫在生成式人工智能领域的复杂和问题。在努力制定一个符合国家具体现实的治理框架时,应适当考虑这个国家的风险分类体系的独特背景。在这一分类之后,必须建立一个治理框架,以明确界定有关当事方的权利和义务。例如,在安全或创新领域内,人工智能提出了明显的挑战,政府的职责是承担主要责任,确保严格的监管监督。相反,为了管理其他风险类型,如与财产安全有关的风险类型,主张由第三方独立机构的参与来发展一种软法治理模式。这种模式将以市场机制为主,以政府治理为基础,确保一个平衡和响应性的软法治理环境。这种双重结构的监督旨在促进人工智能技术的繁荣和社会利益的维护。总之,人工智能,就像推动工业革命的蒸汽机和发电机一样,是一种推动生产率提高的工具。各国政府有责任采取一种适合本国的治理框架:这既包括鼓励生成式人工智能的技术进步,也应对人工智能造成的潜在干扰保持谨慎。政府在治理领域的投资不断升级的影响可能存在内在的限制,特别是在减轻人工智能行业合规行为的波动性方面。这对决策者或政府机构的影响是明确的:需要一种明智和综合的方法,以解释技术部门的快速发展和固有的复杂性。这种方法必须在硬法治理和促进行业主导的软法治理机制之间取得平衡,以应对人工智能带来的挑战。

原标题:《郑东|生成式人工智能服务的软法之治》