工业革命以来, 经济发展极大地加快了社会前进的步伐, 改善了人民的物质生活水平, 但经济发展所导致的全球气候变暖、极端天气频发、环境污染、栖息地丧失等生态环境问题却日益突出[-], 全球范围内, 森林、草原、湿地等自然生态系统大面积消失[-], 结构和功能严重破坏, 人造系统和受人类支配的半自然生态系统大幅度增加[], 生态系统所能提供给人类的食物供给和服务功能大幅度减少[], 人类的生存发展遇到了前所未有的挑战。
当前, 人类对社会经济发展所引发的生态与环境问题的认识尚存在理论上和科学上的不足, 如何破解人类发展与生态保护这对矛盾, 进而实现2030年全球可持续发展目标已成当今世界的最大难题。面对日益失衡的地球、日益破碎的生物圈以及日益扩大的人类足迹, 我们已无法用传统的环境线性思维协调指数增长与几何增长的关系、整体与边际的关系、现实与未来的关系。生态学特有的非线性思维范式及其系统观、整体性、动态观及多学科交叉的特点为探索解决这些危机提供了理论基础和科学框架[]。正如Palmer等20位生态学家2005年在Frontiers in ecology and the environment杂志上发表的《21世纪的生态学与可持续发展》一文中所说:“生态学研究已为了解自然和人类对自然的影响做出了巨大贡献, 在实现社会可持续发展中将起到愈来愈重要的作用”。本文通过对国外生态保护与生态修复理论、技术与实践案例分析, 力图为我国脆弱生态系统保护与退化生态系统修复提供理论和技术支撑。
1 概念辨析 1.1 生态与环境“生态”最早见于德国生物学家Haeckel 1866提出的生态学概念一词, 其源于古希腊文oikos, 意指住所/房子(house)或者栖息地(habitat), 即生态为生物的生存空间特征, 生态学即研究生物与其周边生存环境的关系。“生态”作为生态学研究的对象, 应为名词, 但在国内生态一词长期作为环境一词的附属物, 更多表现为形容词, 其内涵与外延经常模糊不清。《中国大百科全书》甚至未列入“生态”一词, 《辞海》中解释“生态”为生物圈内的生物, 不论是同种或异种, 彼此间都会相互影响。生物和它所生活的环境间, 也会发生相互作用, 这些现象称为“生态”。特别是在当下我国高度重视生态保护与生态修复, 倡导生态文明的大背景下, 急需厘清“生态”一词的科学内涵。
“生态”应指生物与环境的有机组合体, 即自然界中生物与生物、生物与环境所构成的具有一定结构、功能和动态特征的综合体, 具有整体性、稳定性、动态性及服务功能等特征。生态是生态学的研究对象, 生态不是研究“关系”的, 它是具有明显地域特征的“生物+环境”结构功能单元。可见“生态”应更接近“生态系统”。
《中国大百科全书》对“环境”的定义是:“围绕着人群的空间及其中可以直接、间接影响人类生活和发展的各种自然因素和社会因素的总体。”并指出:“按环境主体可分为以人作为主体的人类生存环境和以生物为主体的生物界生存环境。”环境科学语境下, 多数人采用前者, 而在生态学中, 往往采用后者。可见“环境”常因研究“主体”不同而不同。环境概念从环境学科中产生即打上了以“人”为中心的烙印。从而也决定了现有环境问题中对环境污染控制、环境保护与治理中的线性思维, 因为人只是自然界中具有“社会”属性的生物而已。
“生态”与“环境”概念在科学层面及不同话语体系下理解也有不同, 比如“环境”在西语体系下常被理解为“环境就是我们周围的一切事物”。“生态”内涵和外延均大于“环境”, 可以理解为“环境”是“生态”的重要组成部分, “生态”学研究可为人类开展“环境”问题的研究提供新视野与全新视角。
1.2 生态环境“生态环境”一词最早由已故中科院院士黄秉维(五届全国人大常委) 1982年在全国人大讨论宪法草案时, 针对草案中“保护生态平衡”这一说法提出来的。他当时认为“保护生态平衡”不够确切, 建议改为“保护生态环境”。他的建议在政府报告和宪法中都被采用, “生态环境”从此成为法定名词。但后来黄先生发现这个提法不当, 在自己的文章中明确地说:“顾名思义, 生态环境就是环境、污染和其他的环境问题都应包括在内, 不应该分开, 所以我这个提法是错误的”。
“生态环境”在《中国大百科全书》的定义是:“环绕着人群的空间中可以影响到人类生活、生产的一切自然形成的物质、能量的总体”。可见其仍秉持“人本中心”的理念, 与“环境”无大差异。严格讲“生态环境”并不是一个科学的概念, 把环境与生态叠加使用也是不妥的。“生态环境”的准确表达应当是“自然环境”, 外文没有“生态环境”或“生态的环境”的说法, 《中国大百科全书》中即将“生态环境”译为“ecological environment”。生态与环境既有区别又有联系。生态偏重于生物与其周边影响因子相互作用及其综合特征, 更多地体现出系统性、整体性、关联性, 而环境更强调以人类生存发展为中心的外部因素, 更多地体现为人类社会的生产和生活提供的广泛空间、充裕资源和必要条件。
1.3 生态保护“生态保护”(ecological protection)指人类对生态系统有意识的保护。生态保护是以生态科学为指导, 遵循生态规律对生态及其环境的保护对策和措施。生态保护的关键在于应用生态学的理论和方法, 研究并解决人与生态环境之间相互影响的问题, 协调人类与生物圈之间的相互关系。生态保护的重点是通过保护生态系统结构的完整性来维持其功能的可持续性。通常生态保护的对象主要为自然、近自然生态系统及自然资源、生物多样性等。
1.4 生态修复“Ecological restoration”在学术上比较常用的中文释义是“生态恢复”和“生态修复”, 不同国家叫法不同, 我国与日本叫做“生态修复”, 欧美国家称之为“生态恢复”。“生态修复”(ecological restoration)是指辅助退化、受损或被破坏的生态系统而进行的恢复过程。在生态学原理指导下, 以生物修复为基础, 结合物理修复、化学修复和工程技术措施, 通过优化组合, 使之达到最佳效果的修复技术。生态修复的施行需要生态学、植物学、微生物学、栽培学和环境工程等多学科的结合。当前, 生态修复理论和实践走在世界前列的是欧洲、北美、新西兰和澳洲, 其中, 欧洲偏重矿区修复, 北美偏重森林和水体修复, 而新西兰和澳洲则偏重于草原的生态修复。
1.5 环境保护与生态保护“环境保护”(environmental protection)简称“环保”, 指人类为解决现实的或潜在的环境问题, 协调人类与环境的关系, 保障经济、社会的可持续发展而采取的各种行动的总称, 环境保护是单因素和单方面的, 保护重点以“人”为中心。“生态保护”(ecological protection或ecological conservation)是指对生态系统整体的保护, 保护重点以“生物”为主, 包括不同层次的生物, 亦包括不同尺度的生物环境, 乃至整个地球生物圈及其组成部分。
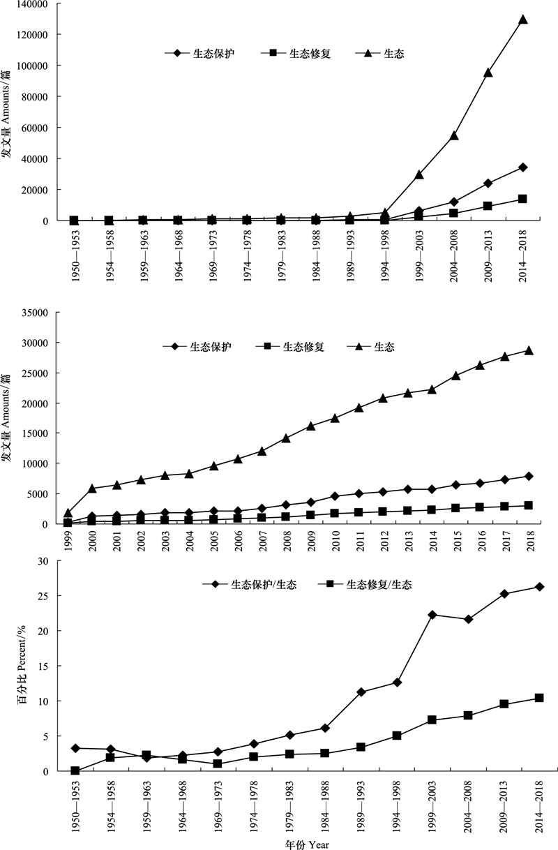
2 生态保护与生态修复国外研究进展 2.1 生态保护与生态修复研究趋势分析基于文献计量学, 以生态保护(ecological conservation / protection)与生态修复(ecological restoration / reclamation / recovery / remediation / rehabilitation)为主题词在Web of Science上检索了1950年至2018年相关文献的发表情况()。近70年来, 国际上生态保护与生态修复研究大致呈现出以下特征:(1)生态研究中有关生态保护与生态恢复的研究明显可以划分为两个阶段, 即前50年平稳发展期(1950—1999年)和近20年的快速增长期(2000—2018年)。(2)总体来看, 国际上发表的生态保护研究论文多于生态恢复研究论文数量, 特别是进入21世纪以来的近20年, 生态保护研究呈现快速增长态势, 明显高于生态修复研究论文数量, 表现出保护研究优先的特征。(3)从国际上生态保护与生态修复研究论文占生态研究论文总数的比例看, 自1963年以来均呈现快速增长态势, 特别是生态保护论文比例从1963年的1.91%增长到2018年的26.24%, 生态保护研究更加受到重视, 发文数量也自此明显超过生态修复研究, 这与1962年美国生物学家Rachel Carson《寂静的春天》的发表不无关系。

依据2017年—2018年两期Nature Index收录的国际顶级期刊(选取综合类期刊:Nature, Science, PNAS和美国、英国等生态学顶级专业期刊:Ecology, Ecology Letters, Frontiers in Ecology and the Environment, Journal of Ecology对生态保护与生态修复近20年论文(1999年—2018年)在Web of Science上进行检索()。整体来看, 生态保护与生态修复的发文数量随时间均呈波动增长态势。

从生态保护与生态修复的研究对象看, 以山(mountain / ridge / mine)、水(river)、林(forest)、田(cropland / farmland)、湖(lake)、草(grassland)、城(city / urban)、海(ocean / sea)、湿地(wetland / marsh / salt marsh / peatland / pool)为主题词在Web of Science上进行检索。结果表明, 生态保护与生态修复的对象多集中在森林、海洋、河流、湿地和山体。

干扰(disturbances), 即由外部因素引起的生态系统的任何可见的变化, 是调节生态系统结构和功能的自然驱动力[]。以陆地生态系统(森林、草原、荒漠、冻原、城市、农田、山体)和水生生态系统(河流、湖泊、沼泽、海洋、滨海湿地)为研究对象, 比较分析不同生态系统退化的主要驱动力()。
表 1 生态系统退化与驱动因子 Table 1 Degradation and driving factors of ecosystems
生态系统
Ecosystems
干扰类型Disturbances types
造成后果
Consequences
研究案例
Case study
自然干扰因子
人为干扰因子
陆地生态系统
Terrestrial ecosystem
森林
气候灾害(森林火)、病虫害
滥砍滥伐、毁林开荒
森林大面积消失、生态环境受到破坏、水土流失
[-]
草原
全球气候变化、干旱、灌木入侵
过度放牧、管理方式不科学、农业用地开发、采矿
草地植被产量和覆盖度减少、土壤盐渍化、土地沙化
[-]
荒漠
暖干化、干旱、多风
矿产资源开发、采挖植物
沙尘暴、荒漠化
[]
冻原
全球气候变暖
环境污染
冻土退化、极小种群的消失
[-]
城市
地震、泥石流滑坡等自然灾害
城市化进程加快, 自然空间萎缩
威胁人类的生命、财产安全, 城市结构和功能丧失
[]
农田
全球气候变化
城市化、工业化的推进;大量施用化肥、农药
农作物减产、重金属污染
[-]
山体
泥石流、滑坡
凿山取石、滥砍滥伐
土壤侵蚀、水土流失
[]
水生生态系统
Aquatic ecosystem
河流
涝灾、外来物种的侵入
过度捕捞、生活排污、农药化肥污染
水体富营养化, 生物多样性丧失
[-]
湖泊
全球气候变化
围湖造田、农药、化肥污染
面积萎缩、水体富营养化
[]
沼泽
全球气候变暖
填海造地
面积萎缩、功能受损、水体富营养化
[]
海洋
全球气候变化、海平面上升
海上开采油气资源、过度捕捞
海洋污染, 危及海洋生物;引发赤潮, 危害海水养殖业等
[]
滨海湿地
全球气候变化、海平面上升、海水入侵、风暴潮
港口建设、人为开垦
引发赤潮, 危害国土安全
[-]
当前, 许多管理行动旨在缓解当地的干扰与压力, 以增强生态系统对全球气候变化的适应能力。通过管理可预测的人为干扰, 以维持足够高的生物多样性水平, 确保生态系统的恢复能力, 确定生态阈值, 为应对全球气候变化中的不确定性和生态恢复提供切实可行的解决方案。
2.2.2 生态保护与生态修复原则干扰是生态系统退化的驱动力和退化发生的必要前提, 一旦干扰超过了生态系统的抵抗力阈值后, 生态系统就会发生退化, 退化程度决定于干扰强度、干扰频率、干扰时间和干扰规模[, ]。一般而言, 针对一个受到干扰而正在退化或者已经退化的生态系统, 该如何保护与修复, 应依据退化生态系统所受的干扰程度和生态系统结构、功能破坏程度而定, 一般可分为三种情况:
(1) 生态系统受外界干扰程度较小, 对原有生态系统结构和功能影响较小, 这种情况下, 可以充分依靠生态系统的自我调节与自恢复能力, 遵循“保护为主”原则;
(2) 生态系统受外界干扰程度较大, 对生态系统结构与功能造成较大影响, 在开展生态保护与生态修复时应视生态系统结构和功能受损程度梯度、格局, 实行修复中的保护, 遵循“保护+修复”并重原则;
(3) 生态系统受外界干扰程度很大, 造成原有生态系统的结构和功能遭受严重破坏, 生物多样性显著降低, 远远超出了生态系统自然恢复的能力, 这种情况下, 必须借助生态修复来促进生态系统结构与功能修复甚而重建, 遵循“修复为主”原则。
2.2.3 生态保护理论(1) 大地共同体理论
《大地伦理》在生态学“群落(community)”概念的基础上扩充为“大地共同体(land community)”概念。1949年, Leopold在“大地伦理”中对大地伦理学的科学内涵作了进一步阐述:“当一切事情趋向于保持生命共同体的完整、稳定和美丽时, 方为正”[]。这里的“完整”指生态系统的完整性与物种的多样性及其协调的关系;“稳定”指维持生态系统自我调节和自我更新的功能;“美丽”则是指一种超越了经济利益的更高的审美意识。完整、稳定和美丽是三位一体的有机整体, 是大地共同体不可分割的三个要素。随着人们生态意识的提高, 大地伦理主张扩大共同体的界限和研究对象, 使之包括土壤、水、植物和动物, 也就是由它们组成的整体“大地”。同时, 人类再也不能再像以前那样把大地视为自己的附属品, 只从经济角度去滥用和破坏大地, 人类应该把自己看作“大地共同体”的一员, 有责任维护生命共同体的完整、稳定和美丽。
(2) 岛屿生物地理学理论
1967年, MacArthur和Wilson提出了岛屿生物地理学理论, 首次阐述了物种多样性和“岛屿”面积、隔离程度的关系, 即“岛屿”的面积及其隔离程度决定了物种丰富度[]。岛屿生物地理学理论作为研究破碎化生境和物种保护问题的基础, 是应用科学方法解决由人类干扰或其它因素引起的物种、群落和生态系统出现的各种问题的学科, 其应用与发展也有了更加广阔的空间, 成为物种及其栖息地保护和自然保护区设计的理论基础[-]。
(3) 生物多样性保护理论
生物多样性(biological diversity或biodiversity)指生物(植物、动物、微生物)与环境形成的生态复合体以及与此相关的各种生态过程的总和。生物多样性作为最重要的生态系统结构与功能特征, 是生态学领域最为重要的研究内容。2010年, 国际生物多样性公约缔约方大会第十届会议制定了20个包括“爱知生物多样性目标”在内的战略计划, 采取有效行动来制止生物多样性的丧失。只有保护了地球上的种质资源, 才能可持续的保持生态系统的稳定性和服务功能。鉴于越来越多的人认识到生物多样性在生态系统功能和服务中所发挥的重要作用, 当今时代的生态保护已经从单纯的物种保护转变到物种、群落和生态系统多层次的保护[, , -]。
(4) 涌现性理论
在生态保护中, 系统性原理强调的整体性与功能性是内部结构与外部系统环境综合作用的结果, 也就是我们所说的涌现(emergence)。涌现过程是新功能和新结构产生的过程, 是一种从低层次到高层次的过渡, 但这个性质并不存在于任何单个要素中, 而是系统在由低层次构成更高层次时才表现出来。系统功能之所以表现为“整体大于部分之和”, 就是因为系统涌现了新质的缘故, 其中“大于部分”就是涌现的新质。系统的这种涌现性是系统的适应性主体之间非线性相互作用的结果, 这有助于认识生态系统结构与功能特征。
(5) 立法保护
法律法规为更高层次的生态保护提供了一定的依据, 欧美国家在立法保护方面一直走在世界前列。1891年, 美国《森林保护法案》颁布, 国有森林系统形成, 从法律意义上来约束人们保护森林;1964年, 美国的《荒野法》(Wilderness Act)提出了对联邦土地的荒野价值进行特别保护的立法理念, 成功保护了3.7万平方千米的联邦土地, 并且创设了国家荒野地保护系统, 开启了美国荒野保护历史的新篇章, 这对荒野地后续的生态保护提供了一定的新思路。1970年, 美国濒危物种保护法(Endangered Species Act)指出, 政府要划出保护地并资助濒危物种的保护;2008年, David的《荒野:美国价值观的历史, 意义和前途》一文认为荒野保护是美国环境传统发展的中心价值, 并且已经建立在法律和机构当中, 通过荒野法案得以更加广泛的保护。
2.2.4 生态修复理论生态修复的对象是生态系统, 它作为改善退化生态系统的生产力和缓解生态系统损失的一种方法, 为生物多样性保护和自然资源管理提供了新的思路和机遇。生态修复是建立在恢复生态学的理论基础上所进行的实践, 生态修复的理论基础来源于恢复生态学。Jordan等提倡采用“综合方法”进行修复, 以促进科学方法和生态修复实践的融合[]。目前, 国外生态修复依据的理论主要包括以下四个方面:
(1) 群落演替理论
群落演替(community succession)一般指植物群落在受到干扰后的恢复过程或在裸地上植物群落的形成和发展过程。群落演替的定义有广义和狭义之分, 广义上是指植物群落随时间变化的生态过程, 狭义上是指在一定地段上群落由一种类型变为另一种类型的质变、且有顺序的演变过程。无论原生演替还是次生演替, 都可以通过一定的人为操作进行调控, 从而改变演替方向和演替速度, 即只要克服或消除外界的干扰压力, 将有助于对自然生态系统和人工生态系统进行有效地控制和管理, 并且可指导退化生态系统恢复和重建[]。群落演替过程中, 演替方向易受到干预, 其中, 营养级联效应在一定程度上显得尤为重要。营养级联(trophic cascade)是在多营养级中的自上而下的链式反应, 生态系统中某营养级生物数量明显改变后, 其他营养级生物数量会发生相应变化。在生态恢复实践中, 应当注意生态演替过程中的营养级联效应, 使演替朝着合适的方向进行。目前群落演替理论被广泛用于退化森林、草原、湿地植被的恢复中[]。
(2) 生态系统稳定性理论
生态系统具有趋于平衡点的稳定特性, 生态系统稳定性(ecosystem stability)通常被定义为生态系统在应对干扰发生状态变化的同时并进行重组以维持生态系统功能的能力[, -]。生态系统稳定性由生态系统的抵抗力和恢复力两个独立的过程共同决定, 抵抗力指引起生态系统结构变化的干扰的大小, 而恢复力是指返回到生态系统最初结构的速度。这两个过程从根本上是不同的, 但很少被区分开来。目前, 生态系统稳定性理论已经成为自然生态系统管理和生态修复的核心概念[-]。
(3) 群落构建理论
在一个特定的时间和空间中, 群落构建(community assembly)是一个群落中物种在空间和时间尺度上组合的决定因素, 物种多样性越高, 组合越复杂, 生态系统就越稳定[]。群落构建研究对于解释物种共存和物种多样性的维持是至关重要的, 生态修复工作越来越侧重于受干扰地区生物群落的物种组成多样性和功能多样性, 通过物种结构、时空结构和营养结构的组合来指导修复工作。在过去20年中, 生态修复研究主要集中于如何提升生态系统功能和促进生物多样性的恢复, 群落构建在生态修复工作中得以被应用[, -]。
(4) 生态位理论
生态位(niche)是指在自然生态系统中一个种群在时间和空间上的位置关系及其与相关种群之间的功能关系。1917年, Grinell最早提出了生态位的概念, 用来划分环境的空间单位和一个物种在环境中的地位。1957年, 英国生态学家Hutchinson进一步完善了生态位的概念和内涵, 并提出了n维生态位(n-dimensional niche), 该种定义被广泛接受, 沿用至今。Young等[]和Wainwright等[]在探究生态恢复和生态学理论的关系时, 提及生态位所发挥的重要作用。根据生态位理论, 在生态修复过程中, 首先要调查修复区的生态环境条件, 根据生态环境因子选择适当的生物种类, 同时避免只引进生态位相同或者相似的物种, 使得各种群在群落中拥有自己的生态位, 避免或者减少种群间的竞争, 实现物种间共存, 维持生态系统的长期稳定。
2.3 国外生态保护与生态修复技术 2.3.1 生态保护技术生态保护直接作用于山体、河流、森林、农田、湖泊、草原、湿地等生态系统, 从而提高了山、水、林、田、湖、草的保持水土、涵养水源和孕育生物多样性的能力, 使各系统的生态功能得到进一步提升, 发挥未来更大的社会效益、经济效益和生态效益。生态保护的根本就是保护生物多样性, 这是基础, 也是保护的核心。目前, 相关生态保护技术主要包括以下三个方面:
(1) 自然保护地技术
全球气候变化背景下, 人类越来越重视生物多样性的保护工作, 在全球范围内分别成立了世界自然保护联盟(IUCN)、IUCN世界保护地委员会(WCPA)、生物多样性公约(CBD)和西班牙生物多样性基金会(The Fundación Biodiversidad)等机构, 旨在保护自然资源和维持生态系统服务功能。自然保护地是一个明确界定的地理空间, 通过法律或其他有效方式获得认可、得到承诺和进行管理, 以实现对自然及其拥有的生态系统服务和文化价值的长期保护。国外设立自然保护地的时间较早, 1872年, 经美国政府批准建立了世界上公认的第一个国家公园——黄石国家公园, 这一举动为全球国家公园的建立开辟了一条全新的道路。目前, 自然保护地和国家公园的实践从美国一个国家发展到全球近200个国家, 从“国家公园”单一概念发展成为“自然保护地体系”, 并产生了“世界自然和文化遗产地”、“国际重要湿地”、“世界地质公园”等一系列概念, 国家公园的概念本身也从单一的生物保护扩展到生态系统水平的保护。
(2) 生态功能群重建技术
功能性状(functional traits)决定了生物体的生物学和生态学特性, 即在特定的生物和非生物条件下生物体生长、生存和繁殖的能力, 个体间功能特征值的分布决定了群落的功能结构[], 可以更直观的表明物种的生态策略和对环境变化的响应机制。近年来, 基于功能性状的方法越来越多地被用于研究演替过程中的生态变迁[]和应对栖息地退化[-]、气候变化[]或外来物种入侵等的干扰[]。Lechêne等基于功能特征方法, 研究了滩涂湿地生态恢复过程中鱼类的功能群, 这有助于识别潮汐沼泽修复过程中驱动群落变化的因素, 在未来的生态保护实践中, 基于功能性状的方法将有很大潜力来用于潮汐湿地和水生动物栖息地的保护[]。此外, 基于植物功能性状的方法也被用于物种多样性维持和群落稳定性研究。
(3) 生态网络构建技术
随着经济的发展, 人类对土地的不合理利用所造成的景观破碎化和片段化严重威胁到生物多样性, 导致物种组成发生改变、种群数量降低、灭绝速率加快[]。生态网络(ecological network)是应对栖息地破碎化的重要手段, 通过提升破碎栖息地间的景观连接度来缓解生境破碎化所带来的负面影响。目前, 国外对生态网络的研究较多, 在不同区域、从不同空间尺度上均开展了丰富的研究和实践工作, 通过使用核心区、缓冲区、生态廊道或者浅河中的踏脚石, 创造自然生境来连通以森林、湖泊、荒野为主的自然区, 从而诞生了欧洲生态网、欧洲Nature2000自然保护基础网络、荷兰国家生态网络、泛欧生态网络等, 这为生物多样性保护和生态保护提供了一定的科学依据。
2.3.2 生态修复技术退化生态系统的修复方案是多种技术的有机组合, 生态修复效果很大程度上取决于修复方案的科学性, 主要包括功能性修复和目的性修复。近年来, 新的生态修复技术相对完善开来, 从传统单一的植树造林到水、土、气、生四相结合进行综合治理, 开展生态修复工作, 同时也兼顾地上地下, 山上山下, 上游下游等各方面的影响因素, 应用技术主要包括以下四个方面:
(1) 土壤修复技术
工业革命以来, 随着工业化、农业化和城市化的推进, 土壤重金属污染已经成为全球范围内的一大难题[-]。原位处理和异位处理是重金属污染土壤修复的常用修复技术, 植物的原位修复技术是一种经济有效、友好的修复方法, 主要取决于重金属的生物有效性[-]。目前国外常用的修复技术主要包括物理化学修复技术——土壤淋洗技术、玻璃化技术、固化和稳定化技术[, ], 生物修复技术——植物稳定技术、植物刺激技术、植物转化技术、植物过滤技术、植物萃取技术和微生物修复技术[-]。
(2) 植物修复技术
原生植被的丧失是当今世界面临的最严重的土地退化问题之一。播种作为一种传统的植被恢复方法, 在土地修复和管理中得以使用[]。然而, 在干旱和半干旱区的退化生态系统中, 播种恢复效果并不理想, 土壤结皮减少了水分的渗透和气体交换, 严重影响种子的萌发率, 导致植物建成率非常低[]。美国西部大盆地地区的牧场种苗研究表明, 幼苗的出现是从种子到成熟植株过程中的一个主要发育瓶颈[, ]。种子群技术和种子包衣技术等新技术提出了克服这些限制的潜在方法, 可以提高结皮土壤中的出苗率, 为幼苗生长提供了有利条件[]。此外, 在矿区生态修复过程中, Fernández等提出了干旱矿区植被重建关键技术, 包括植物物种选择、幼苗种植、群落构建以及植被维护等[];Merino-Martín等考虑到植被生命周期的重要性, 提出了全局植被重建技术(植物物种优选、表土覆盖、播种和维护管理)[]。
(3) 景观修复技术
Nassauer和Opdam将景观定义为一个不断被人类改造以增加其视觉价值的生态系统的异质性镶嵌斑块, 由不同植被类型和土地利用类型在空间上搭配组合而成[, ]。目前, 景观方法在缓解生境破碎化和调整群落结构等方面发挥了一定作用, 国外常用的景观修复技术主要包括加强斑块的生态连通性、地貌重塑, 加强修复场地和周边生态系统功能的协调等。Aronson等强调了在景观尺度上进行生态修复的重要性, 包括景观结构、生物组成和景观内生态系统之间的功能交互[];Datar在露天矿山修复过程中利用拟自然理念来重塑景观, 注重增加地形的异质性[]。此外, 还可以控制景观的连通性和渗透性, 从而实现特定的恢复目标。例如, 城市保护区的鸟类栖息地可以通过修复邻近的林地和在住宅花园中使用本地植物物种来增强[]。
(4) 再野生化技术
再野生化(rewilding)是使某一区域回归到野性、自主的状态, 它强调对种类繁多的本地物种和关键物种的大规模、大空间的生态保护与恢复, 使这些物种在自然条件下达到丰足的数量, 以重新获得健康、可持续、适应力强的生态系统[]。Lorimer等则认为再野生化是一种维持或提高生物多样性的方法和技术[]。目前, 再野生化已经从单纯的强调大型动物保护扩展为生态系统的保护与修复, 即生态系统再野生化。当前, 再野生化技术在德国莱比锡城市森林内自然洪水的恢复、瑞士国家公园的管理、巴西里约热内卢奇久卡国家公园的生物多样性的保护和生态系统的恢复以及白俄罗斯切尔诺贝利禁区的生态系统和野生动物保护与生态修复等实践中发挥了重要作用。在此背景下, 了解其他国家在荒野概念和再野生化方面的应用, 这将有助于我国开展荒野相关的研究, 为我国生态修复提供一定的参考。
3 结论与展望生态保护与生态修复必须建立在生态科学认知的基础上, 首先要明确保护的对象与修复的目标, 建立一套适合特定生态系统保护与修复的技术方法, 做到“一块区域、一个问题、一种技术、一项工程”, 全面考虑生态修复工作的目标与任务, 坚持“保护优先、自然恢复为主”, 实行“宜水则水、宜林则林、宜草则草”原则, 综合考虑生态系统的完整性、稳定性、连续性和可持续性, 以及生态原理的适用性、修复技术水平、科研人员的参与、资金投入与群众诉求等因素, 科学制定退化生态系统的修复方案, 逐步实现生态系统从结构的修复到功能的修复。回顾国外生态保护与生态修复的理论与实践, 可以对照我国在山水林田湖草的生态保护与生态修复项目, 还应关注以下四个方面:
(1) 生态保护与生态修复尚缺乏系统全面的生态理论指导。人类发展依托自然, 依托对生态的真正认知。目前, 人类生态知识的欠缺和认识的偏颇尚不足以支撑对自然的保护, 生态保护普遍缺乏对保护对象的系统、全面与综合的认识。
(2) 学习和对照国际上对生态保护与生态修复研究的“生态保护为主, 生态修复为辅”态势及“生态修复服务于生态保护总目标”的原则, 逐渐调整我国“生态保护”与“生态修复”割裂与分离的局面, 兼顾生态系统的完整性、稳定性、连续性和可持续性, 实现“宜保则保、宜修则修”, “保修结合、相辅相成”。
(3) 对生态保护与生态修复工程缺乏“前期科学规划-过程监测-修复效果后评估”全过程管理机制。修复项目普遍缺乏科学数据, 无法开展生态保护与生态修复工程科学定量评价。
(4) 生态保护与生态修复技术应用与工程应充分鼓励政府、企业、研究单位及其他利益攸关方的广泛参与, 以保证生态保护与修复工程的经济社会性和生态可持续性。