数千年来,人类已经发展出长时间不进食的能力。全球有数十亿人为了文化或医疗目的(包括健康益处和减肥)而禁食。此外,禁食还被用于治疗癫痫和类风湿性关节炎等疾病。而近年来,禁食,尤其是间歇性禁食被用作减肥方式而愈发流行。
在禁食期间,我们的身体改变了能量来源和类型,从消耗卡路里转向使用自身的脂肪储备。然而,除了能量来源的变化外,我们对身体如何应对长时间不进食以及可能带来的任何有益或有害的健康影响知之甚少。
近年来发展出的新技术使研究人员能够测量血液循环系统的数千种蛋白质,为系统性研究人类在禁食过程中的分子适应提供了前所未有的机会。
2024年3月1日,柏林夏里特医学院的研究人员在 Nature 子刊 Nature Metabolism 上发表了题为:Systemic proteome adaptions to 7-day complete caloric restriction in humans 的研究论文。
该研究揭示,在长时间禁食期间,身体在多个器官中发生了显著的系统性变化。这些结果证明了禁食在减重之外的健康益处,也表明了任何潜在的健康改变似乎只有在三天不进食后才会发生。该研究推进了我们对长时间不进食后身体发生变化的理解。

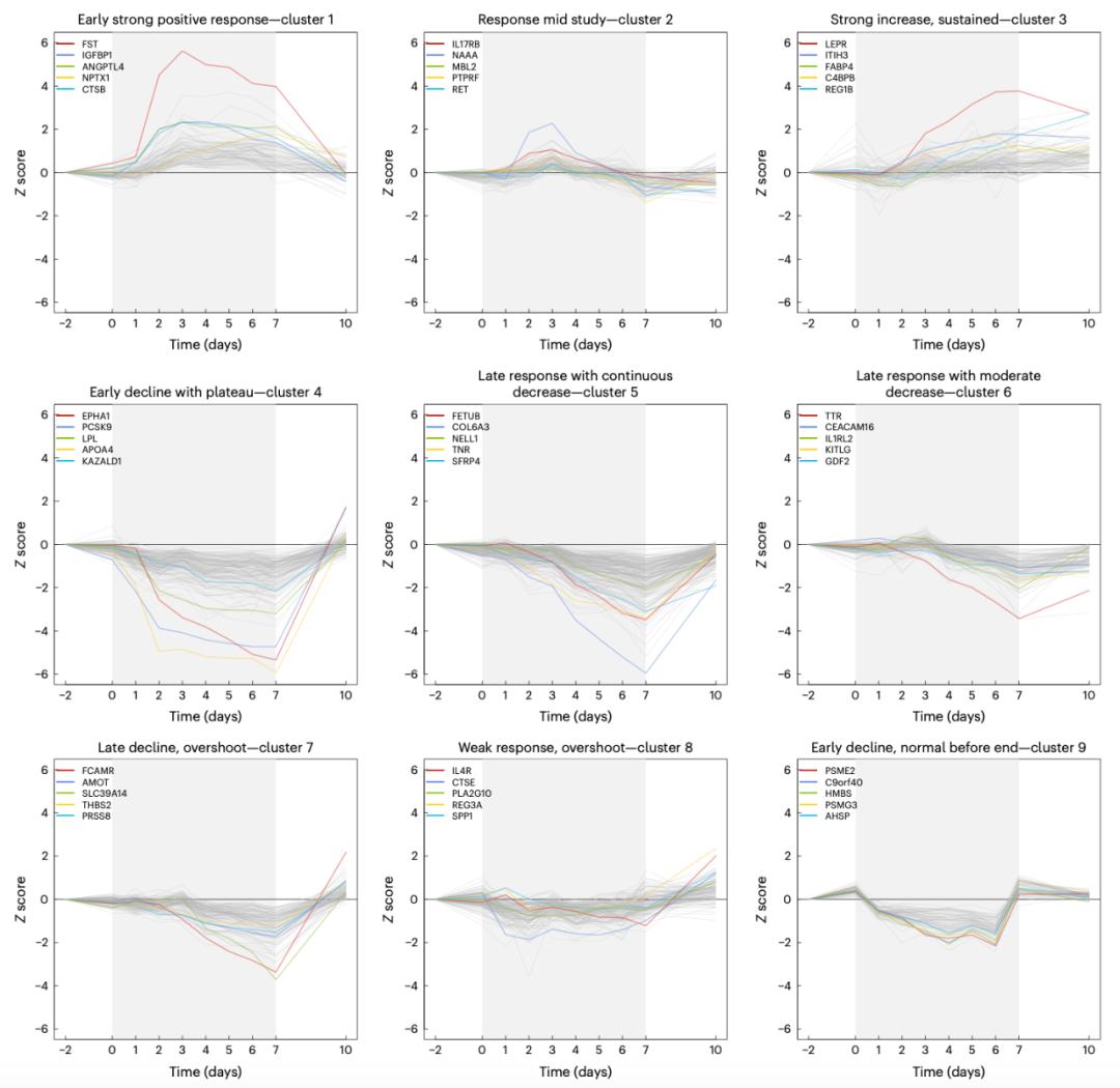
在这项研究中,研究团队跟踪了12名健康志愿者(5 名女性,7 名男性)参加为期七天的禁食(只喝水)。志愿者们每天都被密切监测,记录禁食前、禁食期间和禁食之后血液中约3000种蛋白质水平的变化。通过识别参与身体反应的蛋白质,研究团队可以整合大规模研究的基因信息,预测长期禁食可能带来的健康结果。

研究设计和参与者的特征
正如预期的那样,研究团队观察到身体在禁食的前两三天内将能量来源从葡萄糖转换为储存在体内的脂肪。志愿者们平均减掉了5.7公斤体重(包括脂肪和肌肉)。
该研究首次观察到身体在禁食约三天后出现蛋白质水平的明显变化,表明了对完全热量限制的全身反应。总体而言,身体所有主要器官中测量的蛋白质(约3000种蛋白)中有三分之一(约1000种蛋白)在禁食期间发生了显著变化。这超过1000个显著变化的蛋白在志愿者中是一致的,但禁食也有一些独特的特征,超越了体重减轻,例如组成大脑神经元支持结构的细胞外基质蛋白tenascin-R的变化。

禁食时血浆蛋白水平的时间轨迹
使用蛋白质组学方法,研究团队估计了212种蛋白质在禁食期间的变化对约500个结果的健康后果,并确定了可能的有益(SWAP70蛋白与类风湿关节炎,或HYOU1蛋白与心脏病)和不良影响。这些结果推进了我们对人类长期禁食的理解,超越了仅仅以能量为中心的适应,转向了一种系统性反应,可以为有针对性的治疗调节提供信息。
论文共同通讯作者 Claudia Langenberg 表示,我们第一次能够看到禁食时身体在分子水平上的变化。禁食在安全的情况下是一种有效的减肥干预方式。包括间歇性禁食在内的禁食方式声称除了减肥外还有其他健康益处。这项研究为禁食的健康益处提供了证据,但这些益处只有在三天的完全热量限制后才能显现出来,比我们之前认为的要晚。
论文共同通讯作者 Maik Pietzner 表示,这项研究发现为一些古老的知识提供了基础,即为什么禁食被用于治疗某些疾病。虽然禁食可能对治疗某些疾病有益,但对于患有疾病的患者来说,禁食通常不是一个选择。希望这些发现可以提供有关禁食在某些情况下有益的信息,从而用于开发患者能够采取的治疗方法。
论文链接:
https://www.nature.com/articles/s42255-024-01008-9