本文国家事业单位考试网()针对职测模块中的数量关系题,提供最全的常用高频公式,希望对考生们有所帮助。掌握这些公式,对于提高事业单位考试做题速度和准确率是有一定帮助的。
No.1 奇偶判定
奇数±奇数=偶数;偶数±偶数=偶数
偶数±奇数=奇数;奇数±偶数=奇数
奇数x奇数=奇数;奇数x偶数=偶数
偶数x奇数=偶数;偶数x偶数=偶数
No.2 计算公式
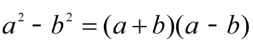
平方差公式:

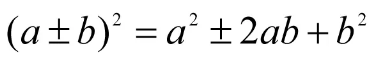
完全平方公式:

立方和与立方差公式:

No.3 数字变化
对任意两数a、b,如果a-b>0,则a>b;如果a-b<0,则a<b;如果a-b=0,则a=b
当a、b为任意两正数时,如果a/b>1,则a>b;如果a/b<1,则a<b;如果a/b=1,则a=b
当a、b为任意两负数时,如果a/b>1,则a<b;如果a/b<1,则a>b;如果a/b=1,则a=b
对任意两数a、b,当很难直接用作差法或者作商法比较大小时,我们通常选取中间值c,如果a>c,且c>b,则我们说a>b
No.4 整除判定
2,4,8整除及其余数判定法则
一个数字能被2(或5)整除,当且仅当末一位数字能被2(或5)整除
一个数字能被4(或25)整除,当且仅当末两位数字能被4(或25)整除
一个数字能被8(或125)整除,当且仅当末三位数字能被8(或125)整除
3,9整除判定基本法则
一个数字能被3整除,当且仅当其各位数字之和能被3整除
一个数字能被9整除,当且仅当其各位数字之和能被9整除
7整除判定基本法则
一个数是7的倍数,当且仅当其末位数的2倍,与剩下的数的差为7的倍数
11整除判定基本法则
一个数是11的倍数,当且仅当其奇数位之和与偶数位之和做的差为11的倍数,则这个数就是11的倍数
No.5 工程问题
工作量=工作效率×工作时间
工作效率=工作量÷工作时间
工作时间=工作量÷工作效率
总工作量=各分工作量之和
注:在解决实际问题时,常设总工作量为1
No.6 行程问题
(1)火车过桥核心公式:路程=桥长+车长(火车过桥过的不是桥,而是桥长+车长)
(2) 相遇追及问题公式:相遇距离=(速度1+速度2)×相遇时间追及距离=(速度1-速度2)×追及时间
(3)队伍行进问题公式:队首→队尾:队伍长度=(人速+队伍速度)×时间;队尾→队首:队伍长度=(人速-队伍速度)×时间
(4)流水行船问题公式:顺速=船速+水速,逆速=船速-水速
(5)往返相遇问题公式:
两岸型两次相遇:S=3S1-S2,(第一次相遇距离A为S1,第二次相遇距离B为S2)
单岸型两次相遇:S=(3S1+S2)/2,(第一次相遇距离A为S1,第二次相遇距离A为S2)
左右点出发:第N次迎面相遇,路程和=(2N-1)×全程;第N次追上相遇,路程差=(2N-1)×全程
同一点出发:第N次迎面相遇,路程和=2N×全程;第N次追上相遇,路程差=2N×全程
No.7 利润问题
利润=销售价(卖出价)-成本
利润率=利润÷成本=(销售价-成本)÷成本=销售价÷成本-1
总利润=单利润×销量售价=进价+利润=原价×折扣
销售价=成本×(1+利润率)
成本=销售价÷(1+利润率)
No.8 钟表问题
钟面上按“时”分为12大格,按“分”分为60小格。
每小时,时针走1大格合5小格,分针走12大格合60小格,时针的转速是分针的1/12,两针速度差是分针速度的11/12,分针每小时可追及11/12。
No.9 年龄问题
关键在于年龄差不变
几年后年龄=大小年龄差÷倍数差-小年龄
几年前年龄=小年龄-大小年龄差÷倍数差
No.10 日期问题
闰年是366天,平年是365天
其中:1、3、5、7、8、10、12月都是31天,4、6、9、11月是30天;闰年时候2月份29天,平年2月份是28天。
No.11 植树问题
要考虑植树的路段是不是封闭的。
封闭时:总棵树=总长÷间距
不封闭时:总棵树=总长÷间距+1
No.12 鸡兔同笼问题
注意鸡与兔腿数的差别,有许多问题都可以用鸡兔同笼的思想来解决,只需要列简单的二元一次方程即可。
兔的只数=(总脚数-总头数×鸡的脚数)÷(兔的脚数-鸡的脚数)
鸡的只数=(兔的脚数×总只数-总脚数)÷(兔的脚数-鸡的脚数)(一般将“每”量视为“脚数” )
No.13 等差数列相关公式
和=(首项+末项)×项数÷2
项数=(末项-首项)÷公差+1
从1开始,连续的n个奇数相加,总和=n×n,如:1+3+5+7=4×4=16,……
No.14 几何问题
(1) 三角形三边关系公式
两边之和大于第三边,两边之差小于第三边。
(2)勾股定理
直角三角形中,两直角边的平方和等于斜边的平方。常用勾股数:(3、4、5);(5、12、13);(6、8、10)。
(3)内角和定理
正多边形内角和定理,n边形的内角的和等于: (n - 2)×180°(n大于等于3且n为整数)。
已知正多边形内角度数,则其边数为:360°÷(180°-内角度数)。
(4)几何面积和体积

(5)将一个图形尺度扩大为N倍,则
①对应角度不变
②对应周长变为原来的N倍
③面积变为原来的N*N倍
④体积变为原来的N*N*N倍
No.15 溶液问题
溶液=溶质+溶剂
浓度=溶质÷溶液
溶质=溶液×浓度
混合浓度=总溶质÷总溶液
免费学习资源(关注可获取最新开课信息)

2025年系统课 申论31讲(申倩主讲)
10万+播放 领取讲义

2025年系统课 行测(50集全)
20万+播放 考点全面

行测刷题课(2025年新版、全国通用)
15万+播放 考点梳理

行政执法类申论合集(最新真题7套)
试卷见评论区 免费领取

2022-2024年国考申论历年真题(考前突击)
50万+播放 真题讲解

2021-2024年江苏省考申论真题(考前突击)
60万+播放 ABC类全面讲解

2022-2024年山东省考申论真题(考前突击)
21万+播放 真题梳理,考点全面

2023-2024年浙江省考申论真题(考前突击)
15万+播放 手把手教你写